Chapter #1: The Damage That The Lawyer/Law Firm Representing Your Spouse Can Do To Your Divorce Case
Since 2002, I have been handling divorce cases, including the most unpleasant contested divorces that you can imagine. I have seen how delicate these cases are and how people who are getting divorced are lied to (or deceived) repeatedly by the following: a) their own lawyers; b) independent paralegals who are acting as lawyers; c) other people who got divorced and now claim to know the divorce process back and forth. When it comes to the American legal system, I am telling you that the process of getting divorced, especially if you are involved in a contested divorce, is one of the most illogical, expensive, inefficient and therefore shameful processes in this country. It is a process that revolves around money and it permits many people to profit from that unsuspecting client who is focused just on getting divorced and has placed his/her faith and trust in the system.
I know the process of getting divorced in New York back and forth and it sickens me. I see people being taken advantage of and manipulated on practically a daily (meaning hourly) basis. As a result, I have learned to push these cases through the legal system as fast as I can because I have never heard any divorce client say the following to me:
‘Henry, it doesn’t matter if I get divorced in 1 year or 12 years. I’m not in a rush.’
I am the only divorce lawyer that I can think of who is genuinely interested in getting a client’s divorce case done as Rapidly as possible. I have learned that the ideal situation is where I am working in tandem with the lawyer who represents your spouse to get the case done efficiently and in a cost-effective way. But from my observations, there are legions of lawyers who couldn’t care less how long your divorce case goes on for. The longer the case goes on, the more money falls into the hands of the lawyers for both spouses, the more money is paid to the ‘law guardian’ a/k/a ‘attorney for the child(ren) and the higher are the chances that the very expensive process of forensics will be utilized, in which the ‘expert’ that is chosen to conduct the forensics is paid a handsome sum of money to investigate and write an extensive background on the psychological background of both parents. In the City of New York and wealthy suburbs such as Long Island, Westchester, etc., the process of having the forensics done, by itself, can cost $7,500 to $10,000.
The amounts of money that are thrown around in contested divorce cases are staggering. What person’s head would not spin after seeing these huge amounts of money being divvied up, as if you had your own gold mine? I have met many people who have spent upwards of $25,000, $50,000, even $100,000 in a contested divorce case. Things in this country should not be this way. You should have not have to forfeit your retirement savings just to get divorced or to obtain custody of your child(ren).
Whenever I write an article on the legal system, you will find plenty of documents that support the statements that I make. These documents will hopefully help you or anyone you know better understand the not-so-clear process of navigating through a contested divorce in NY. If you live outside NY, I am sure that the actual names of the documents you see here are different, but the principles of law and the purposes of these documents have to be very similar.
Case Study #1: The Married Couple That Has Been Separated For Years
There are so many couples that fit into this category. I always offer a reasonable flat fee for handling these types of divorces. These cases do not result in appearances in Court, loud fights, and virtually no ‘discovery’ (demands from the lawyers going back and forth, depositions, etc.). My experience is that my client’s spouse is ready and willing to sign the divorce agreement, which is called a ‘Stipulation of Settlement’ in New York. This is what I call a ‘pure uncontested divorce’ which is a divorce case where no appearance in Court takes place. In fact, if I am the lawyer who files the divorce, the other spouse really does not need to hire his/her own lawyer.
You will invariably find lawyers who try to gouge 1 or both of the spouses for higher fees for this type of divorce. I’ve never charged a client by the hour for this type of divorce. The spouse might be living in another state (as in the case study below) or even living in another country. I’ve mailed all the paperwork to be signed to the other spouse who lives in Costa Rica, Mexico, etc. and the papers are always signed, notarized properly in that state/country, and mailed back to me in a timely manner. These couples are already de facto divorced and the actual filing of the paperwork is an afterthought.
The document marked 3-A at the top is the cover letter that the lawyer representing the plaintiff spouse needs to file with the ‘uncontested divorce packet.’ One of the most commonly asked questions relating to the divorce process is, ‘how long does a divorce process take?’ The wrong thing to do is to measure the processing time from the date that the divorce case was originally filed. The right thing to do is to measure the processing time from when all the required filing fees have been paid and the entire ‘uncontested divorce’ packet is filed with the Clerk of the Court. From that time, in Nassau County it takes 3.5 to 4 months for the Judgment of Divorce to be signed by a Judge/Referee. The Judgment of Divorce is the only document that officially ends a marriage. The signing of the divorce agreement (‘Stipulation of Settlement’) does not end the divorce.
I always try to file my divorce cases in EITHER Nassau County or 'New York County' (Manhattan) because the processing times for uncontested divorces are the shortest. 'New York County' is also known for processing uncontested divorces very quickly, meaning in 4 to 6 months (closer to 4 months from the date the 'uncontested divorce packet' is filed but only if there are no children involved). Orange County is very fast as well. The processing times for an uncontested divorce in Suffolk County, Queens and Kings County (Bklyn) are much longer, meaning from 9 months up to 1 year. The Bronx is the worst and if you have the misfortune of having your divorce case filed in the Bronx, you will most likely be waiting for over 1 year, meaning after the 'uncontested divorce packet' has been filed before the Judgment of Divorce is signed by a Judge or Referee.
Some people will say, 'but my divorce is contested!' This is what I am telling you after seen so many of these cases: over 95% of all contested divorce cases, whether they involve nasty and expensive custody battles, the issue of relocation with the child(ren), rampant cheating by 1 spouse or both spouses, Orders of Protection flying back and forth, money being squandered and high attorney fees, multiple lawyers being hired by 1 spouse (or both spouses), will wind up being settled by a Stipulation of Settlement, whether it is written or verbally placed 'on the record.' If you have a highly emotional contested divorce case, I almost guarantee that there will come a point where both parties get tired of taking time off from work, hiding their 'true' finances (this happens all the time), tired of paying loads of money for lawyer fees, and eventually they will settle. The craziest thing is that sometimes the spouses settle even after the trial is over and the judge has already issued a written Decision.
So what happens to the less than 5% of all divorce cases that do not settle? Those cases will proceed to trial, then the Judge will take several months (or in the courts of NYC, up to 1 year) to issue the final Decision, and then you will see in the Decision the Judge's instructions to submit the final paperwork in order to complete the divorce case to the Clerk of the Court. So in the end, even the contested divorce cases that proceed to trial and 'verdict' a/k/a written Decision are basically similar to an uncontested divorce at the very end of it all. After all, no married person can obtain a Judgment of Divorce in New York State without having submitted this required paperwork at the very end of the process! That is why it is very important to know the processing times for each and every county/borough regarding divorces.
The receipt labeled 3-B is for the index number, which costs $210.00. It costs $210 to file any lawsuit in the NYS Supreme Court, including a divorce case. I purchased the index number for this case on March 7, 2014. If this divorce case had lasted into 2017, I assure you that measuring the time from when the case was filed on March 7, 2014 would be meaningless. This couple did not have any children, did not own any property together (no marital debt either) and the wife had left my client in 1999. In fact, he did not even know where she lived in 2014, but thankfully I found her alive and residing in another state.
There are subtle things that an experienced person in any profession and trade should do in order to speed up the process of getting their job done. In order to gain the trust of a person who has relocated to another state and is no longer in contact with his/her spouse (who knows if there were hard feelings between any 2 long-term separated spouses), I do the following: A) I write a cover letter to the other spouse that is toned-down and not aggressive; B) I never use a process server to deliver the Summons and Complaint. In fact, I believe that many lawyers are so dense and unimaginative that they use a process server to serve the other spouse in every case, no matter what the circumstances and what is the level of hostility that already exists.
In New York, the ‘defendant spouse’ must be personally served within 120 days after the divorce case is filed, regardless of where the ‘defendant spouse’ lives. This requirement applies even if the other spouse lives in another state or another country. But since there is a way around this requirement (and I view myself as a ‘problem solver’), I learned years ago how to approach the other spouse and gain that person’s trust.
I have always believed that the lawyer representing the ‘plaintiff spouse’ (the spouse who files the divorce case) will intentionally have the process server deliver the documents to the ‘defendant spouse’ in an embarrassing way so that the ‘defendant spouse’s emotions, if they are not enraged already, become further enraged against the other spouse. This is only 1 of an endless series of subtle things that a lawyer can do to stretch out a divorce case and thereby make more money.
You will see my notarization stamp on document 3-C but I only witnessed my client’s signature here in New York. A notary public cannot witness the signature of a person that he/she has never met. On page 3-D you will see that the wife’s signature was properly notarized in the state where the wife resides. To this day I have not met her and I properly never will.
This divorce case is about as simple as it gets, the only complication being that the ‘defendant spouse’ resides not close to New York. I included this case summary to show you how fast a divorce case like this can be processed. It does not take 9 months or years and years to complete this kind of divorce case. Remember that I also normally charge a flat fee for divorces like this.
In New York State, the clerk’s office will mail you a postcard (document 3-E) stating when the Judgment of Divorce has been signed and filed and can be picked up. For those of you seeking to remove your spouse from your medical benefits plan, this is the document that you will need.
I can handle Any divorce case in Any county/borough of New York State. For the above type of divorce case, neither spouse needs to show up in Court. Everything can be done through the mail. If you cannot find an affordable divorce lawyer who truly works quickly and offers a fair price, I would love to hear from you!
Case Study #2: The Divorce Case Where The Opposing Lawyer Causes Delays and Is Not Interested In Resolving The Case
It is an understatement that there are many cases that fit this description. Even if the spouses are at each other’s throat, both lawyers should act professionally and work in an efficient manner to move the case forward. But I have found that this most often does not happen. In contested divorce cases, it is rare that I wind up sharing the workload with the opposing lawyer 50%-50%. Now that I have come into my own as a divorce lawyer, I have seen that I wind up advancing the entire case, with little or just no help from the other lawyer, in over 90% of my contested divorce cases. This is not an exaggeration.
In this case, I literally knocked the wife’s law firm off the entire case. Her law firm was irritating, did basically no work and was looking to gouge my client for money (for alimony a/k/a ‘maintenance’ and for their attorney fees). If I see that the other spouse’s law firm is doing this, I have often urged my own client to convince the other spouse to discharge that law firm and to allow me to handle the remainder of the divorce case. This is not illegal and this is not unethical. Remember that when it comes to some of the spouses that my client is getting divorced from, I do not want to even be in that person’s presence. But some cases are ripe for an outcome like the one from this case. I will also say that some lawyers are so negligent that they deserve to be discharged by their own client.
I would never guarantee that this will happen in your case. Some spouses are more dangerous on their own than when they were represented by counsel. But this does happen from time to time, especially when my client sees that my only concern is to end an otherwise ‘normal’ divorce case quickly. The great difference that separates contested divorce cases from all other types of civil lawsuits in America is that in a contested divorce case, even after both spouses ‘lawyer up,’ they will often continue to talk to each other directly.
The only exception is when at least 1 spouse has an Order of Protection against the other spouse. The generic term ‘restraining order’ is called an Order of Protection in New York State. But even in these situations, I have seen that the spouses still communicate with each other, especially if the Order of Protection is only a ‘refrain’ O/P that allows the parties to be in each other’s presence but simply prohibits certain types of behavior.
I filed this divorce case on Sept. 20, 2013 (document 4-A). This was a less-than 5 years marriage that did not produce any children. My client sponsored the ‘defendant spouse’ for a green card (permanent residency) and you can say that each party benefitted from the other person’s companionship for a few years, even though I’m sure that they loved each other. This was not a fake marriage.
Document 4-B is the standard Summons page that is attached to all Complaints, both of which must be personally served on the ‘defendant spouse’ in 120 days after the case is filed. Unlike the first Case Study, I knew that I had to have my client’s spouse served with a process server, so that person was served while at work because there was no other place where I could find that person.
My client’s spouse hired a law firm that is relatively well-known to the general public. Any unsuspecting person would think that this law firm could competently handle a divorce case like this. But I came to find out that this firm was horrible. I only spoke to 1 of the named partners on 1 occasion and I clearly remember describing this marriage as a ‘green card marriage.’ This partner did not make a demand/request for alimony a/k/a ‘maintenance’ or for attorney fees or for any other form of financial assistance. After that phone call, I typed up a simple, short ‘Stipulation of Settlement’ and I had my client sign five (5) original, identical versions of it. The following day, I walked those five (5) original Stips. of Settlement to the other law firm myself.
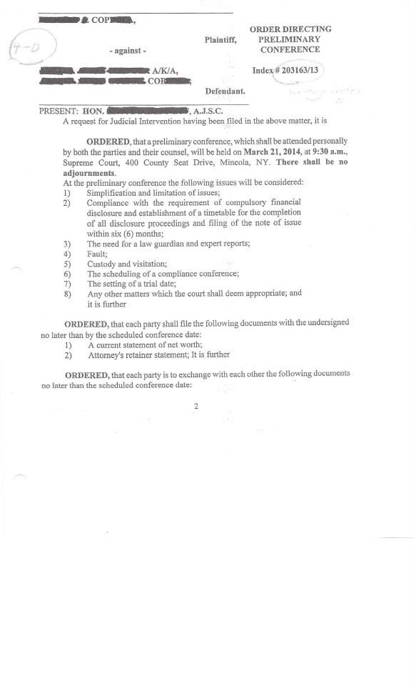
Soon thereafter, the ‘defendant spouse’s’ law firm began to demand money for maintenance and their attorney fees. What a surprise, since my client earned a 6 figure salary and the other spouse, having not grown up in the US, was earning much less in a part-time job. In a situation like this, there is no ‘referee’ from the Court to sort out the mess. Once I heard their ridiculous demands, I immediately requested a ‘Preliminary Conference’ in the Supreme Court. The first conference for any type of lawsuit in the Courts of the NYS Supreme Court is called the ‘Preliminary Conference.’
I requested the ‘Preliminary Conference’ in late Dec. 2013 (document 4-C) and the Supreme Court processed my request 2 to 3 weeks later (document 4-D and 4-D(1)) and assigned the date of March 21, 2014 for the ‘Preliminary Conference.’ But to further drive my point home to the law firm representing my client’s spouse, I wrote a letter that you can describe as somewhat aggressive, dated Dec. 30, 2013 (documents 4-E(1), (2) and (3). I am 100% serious when I say that I have actually had to tell my adversary to take the divorce case seriously and I have done this more than 1 time.
After the ‘green card marriage’ phone call, I never spoke to anyone from that law firm again. Instead, they filed a Motion called an ‘Order to Show Cause’ seeking the following: A) an award of temporary maintenance, also called maintenance pendente lite; and B) an Order forcing my client to pay ‘only’ $7,500 in attorney fees to pay for their representation of my client’s spouse who had undoubtedly benefitted greatly from my client’s sponsorship of her for permanent residency. Please see documents 4-F(1), (2) and (3).
It is very hard for any person who enters the US to obtain permanent residency. Unless you are ‘special’ in the sense that you are applying for asylum or you have exceptional skills (professional athlete, international model, renown author/speaker, etc.) or you have been physically abused by a spouse, a ‘normal’ person cannot self-sponsor for permanent residency. In most situations, an applicant must be sponsored by a relative or employer for a ‘green card.’ Sponsorship by a spouse is the easiest and fastest method but many people believe that they can pay for this process. Remember that our immigration system is trained to pick out these fake marriages.
I could see that this ‘Order to Show Cause’ was filed by this law firm without the full knowledge and consent of my client’s spouse. This was simply a blatant money grab that happens all the time in contested divorce cases. Once my client’s spouse found out about it, she began to speak regularly with my client and I urged my client to convince the spouse to discharge that law firm, which happened the night before the ‘Preliminary Conference’ (document 4-G). Since my client’s spouse was a native Portuguese speaker, I made sure that the spouse’s daughter did all the translating of that document before the spouse signed it and I notarized the signature.
At the Preliminary Conference, the judge asked the other spouse, who was now pro se, what that person intended to do with the ‘Order to Show Cause’ that was filed by the former law firm. The Motion was withdrawn but I had to write out the written withdrawal of it (document 4-H).
The entire uncontested divorce packet was filed on April 10, 2014 (document 4-J), the remaining required fees were paid on that same day (document 4-K). In late Aug. 2014, I received the postcard stating that the Judgment of Divorce had been signed, thus ending this couple’s marriage (document 4-L).
Just to bolster what I’ve said about this law firm that was so neglectful of this case, my client’s now ex-spouse showed me a copy of the law firm’s Invoice (document 4-N). I believe that this law firm’s former client paid a total of $500.00 and not a penny more. You can see that a partner’s hourly rate is $495.00 per hour for each hour (these are 2014 rates). The greatly affordable hourly rate of $395.00 per hour for each hour (yes, I am being sarcastic) must be for an associate lawyer’s work, whatever this law firm imagines their work product to be.
Needless to say, I can handle contested divorce cases that involve opposing law firms that are neglectful, insulting, or that try to intimidate the other lawyer. I do not waste anyone’s time by playing these stupid games and wasting my client’s money. I just go hard after the goal and it is true that for the past few years, I am the person who winds up advancing the entire divorce case in over 90% of my divorce cases. In these 2 Case Studies, I wound up doing all the work myself.
As I always say at the end of my Articles, thank you for reading this material and I hope that you (or someone you know) will find it helpful!
































No comments:
Post a Comment